ಉಡುಪಿ : ಜಿಲ್ಲಾ ಆರೋಗ್ಯ ಮತ್ತು ಕುಟುಂಬ ಕಲ್ಯಾಣ ಸೊಸೈಟಿ ಉಡುಪಿ (DHFWS ಉಡುಪಿ) 2026 ರಲ್ಲಿ 43 ನರ್ಸ್, ಫಾರ್ಮಾಸಿಸ್ಟ್ ಮತ್ತು ಇತರ ಹುದ್ದೆಗಳಿಗೆ ನೇಮಕಾತಿ. B.Pharma, B.Sc, Diploma, 12TH, GNM, M.Sc, MS/MD, D.Pharm, DMLT, MPH ಹೊಂದಿರುವ ಅಭ್ಯರ್ಥಿಗಳು ಆಫ್ಲೈನ್ನಲ್ಲಿ ಅರ್ಜಿ ಸಲ್ಲಿಸಬಹುದು. ಆಫ್ಲೈನ್ ಅಪ್ಲಿಕೇಶನ್ 31-12-2025 ರಂದು ತೆರೆಯುತ್ತದೆ ಮತ್ತು 16-01-2026 ರಂದು ಮುಕ್ತಾಯವಾಗುತ್ತದೆ. ಅಭ್ಯರ್ಥಿಯು DHFWS ಉಡುಪಿ ವೆಬ್ಸೈಟ್, udupi.nic.in ಮೂಲಕ ಆಫ್ಲೈನ್ನಲ್ಲಿ ಅರ್ಜಿ ಸಲ್ಲಿಸಬೇಕಾಗಿದೆ.
ಇದನ್ನು ಮಿಸ್ ಮಾಡದೇ ಓದಿ: ಜನರ ಆಶೀರ್ವಾದ ಇರುವವರೆಗೆ ರಾಜಕೀಯದಲ್ಲಿರುತ್ತೇನೆ : ಸಿಎಂ ಸಿದ್ದರಾಮಯ್ಯ
ಇದನ್ನು ಮಿಸ್ ಮಾಡದೇ ಓದಿ: KPCLನ ನೇಮಕಾತಿ ಪರೀಕ್ಷೆ ಫಲಿತಾಂಶ ಪ್ರಕಟ
ಇದನ್ನು ಮಿಸ್ ಮಾಡದೇ ಓದಿ: KSRTC ಪ್ರಯಾಣಿಕರ ಸುರಕ್ಷತೆ ಹಲವಾರು ಕ್ರಮಗಳು ಹೀಗಿದೆ
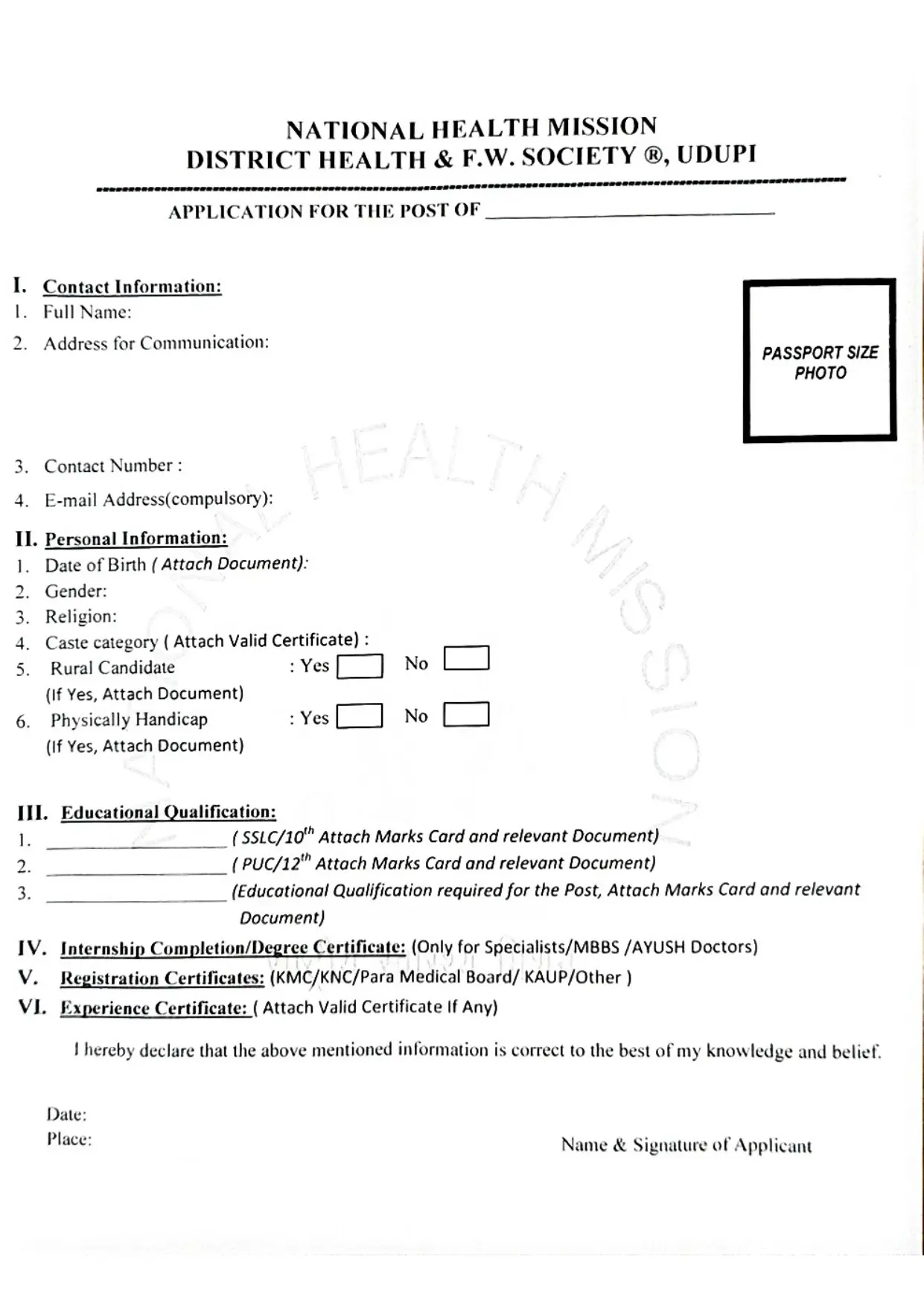
ಜಿಲ್ಲಾ ಆರೋಗ್ಯ ಮತ್ತು ಕುಟುಂಬ ಕಲ್ಯಾಣ ಸೊಸೈಟಿ ಉಡುಪಿ (DHFWS ಉಡುಪಿ) 43 ನರ್ಸ್, ಫಾರ್ಮಸಿಸ್ಟ್ ಮತ್ತು ಇತರ ಹುದ್ದೆಗಳ ನೇಮಕಾತಿಗಾಗಿ ಅಧಿಕೃತ ಅಧಿಸೂಚನೆಯನ್ನು ಬಿಡುಗಡೆ ಮಾಡಿದೆ. ಆಸಕ್ತ ಮತ್ತು ಅರ್ಹ ಅಭ್ಯರ್ಥಿಗಳು ಅಧಿಕೃತ DHFWS ಉಡುಪಿ ವೆಬ್ಸೈಟ್ ಮೂಲಕ ಆಫ್ಲೈನ್ನಲ್ಲಿ ಅರ್ಜಿ ಸಲ್ಲಿಸಬಹುದು. ಅರ್ಜಿ ನಮೂನೆಯನ್ನು ಸಲ್ಲಿಸಲು ಕೊನೆಯ ದಿನಾಂಕ 16-01-2026. ಈ ಲೇಖನದಲ್ಲಿ, ನೀವು DHFWS ಉಡುಪಿ ನರ್ಸ್, ಫಾರ್ಮಾಸಿಸ್ಟ್ ಮತ್ತು ಇತರ ಹುದ್ದೆಗಳ ನೇಮಕಾತಿ ವಿವರಗಳನ್ನು ಕಾಣುವಿರಿ, ಅರ್ಹತಾ ಮಾನದಂಡಗಳು, ವಯಸ್ಸಿನ ಮಿತಿ, ಸಂಬಳದ ರಚನೆ, ಆಯ್ಕೆ ಪ್ರಕ್ರಿಯೆ, ಅಪ್ಲಿಕೇಶನ್ ಹಂತಗಳು ಮತ್ತು ಅಧಿಕೃತ ಅಧಿಸೂಚನೆ ಮತ್ತು ಆಫ್ಲೈನ್ ಅರ್ಜಿ ನಮೂನೆಗೆ ನೇರ ಲಿಂಕ್ಗಳನ್ನು ನೀಡಲಾಗಿದೆ.

ಅರ್ಹತೆಯ ಮಾನದಂಡ
NCD ಹೃದ್ರೋಗ ತಜ್ಞರು: MBBS, MD
N.P.H.C.E ಕನ್ಸಲ್ಟೆಂಟ್ ಮೆಡಿಸಿನ್: MBBS, MD
NPPC ವೈದ್ಯ: MBBS, MD
ಅರಿವಳಿಕೆ ತಜ್ಞ: DNB, MD
ಬಹು ಪುನರ್ವಸತಿ ಕೆಲಸಗಾರ: 12 ನೇ
ಆಡಿಯೊಮೆಟ್ರಿಕ್ ಸಹಾಯಕ: ಶ್ರವಣ ಭಾಷೆಯಲ್ಲಿ ಡಿಪ್ಲೊಮಾ
ಬೋಧಕ – ಯುವ ಶ್ರವಣದೋಷವುಳ್ಳ ಮಕ್ಕಳು: ನಿರ್ದಿಷ್ಟಪಡಿಸಲಾಗಿಲ್ಲ
ANM/ PHCO: ANM
ಕಪ್ಪು ಸಾಂಕ್ರಾಮಿಕ ರೋಗಶಾಸ್ತ್ರಜ್ಞ: MBBS, MD, MPH
RMNCH+A ಕೌನ್ಸಿಲರ್: B.Sc
ಪ್ರಯೋಗಾಲಯ ತಂತ್ರಜ್ಞರು: DMLT, MLT, B.Sc, M.Sc
ಫಾರ್ಮಾಸಿಸ್ಟ್: ಡಿ.ಫಾರ್ಮ್, ಬಿ.ಫಾರ್ಮ್
ಕಿರಿಯ ಆರೋಗ್ಯ ಸಹಾಯಕರು: 10ನೇ, 12ನೇ
ನರ್ಸ್: ಡಿಪ್ಲೋಮಾ, B.Sc, GNM

ವಯಸ್ಸಿನ ಮಿತಿ
ನಿಯಮಗಳ ಪ್ರಕಾರ ವಯಸ್ಸಿನ ಸಡಿಲಿಕೆ ಅನ್ವಯಿಸುತ್ತದೆ.
ಪ್ರಮುಖ ದಿನಾಂಕಗಳು
ಅರ್ಜಿ ಸಲ್ಲಿಸಲು ಪ್ರಾರಂಭ ದಿನಾಂಕ: 31-12-2025
ಅರ್ಜಿ ಸಲ್ಲಿಸಲು ಕೊನೆಯ ದಿನಾಂಕ: 16-01-2026
ಹೇಗೆ ಅನ್ವಯಿಸಬೇಕು
ನೀವು ಎಲ್ಲಾ ಅರ್ಹತಾ ಮಾನದಂಡಗಳನ್ನು ಪೂರೈಸುತ್ತೀರಿ ಎಂದು ಖಚಿತಪಡಿಸಿಕೊಳ್ಳಲು DHFWS ಉಡುಪಿ ನೇಮಕಾತಿ ಅಧಿಸೂಚನೆ 2026 ಅನ್ನು ಎಚ್ಚರಿಕೆಯಿಂದ ಪರಿಶೀಲಿಸಿ. ನೇಮಕಾತಿ ಲಿಂಕ್ ಅನ್ನು ಕೆಳಗೆ ನೀಡಲಾಗಿದೆ.
ಸಂವಹನ ಉದ್ದೇಶಗಳಿಗಾಗಿ ಸರಿಯಾದ ಇಮೇಲ್ ಐಡಿ ಮತ್ತು ಮೊಬೈಲ್ ಸಂಖ್ಯೆಯನ್ನು ಹೊಂದಿರುವಿರಾ ಎಂದು ಖಚಿತಪಡಿಸಿಕೊಳ್ಳಿ. ಅಗತ್ಯವಿರುವ ಎಲ್ಲಾ ದಾಖಲೆಗಳನ್ನು ಸಂಗ್ರಹಿಸಿ, ಉದಾಹರಣೆಗೆ:
ID ಪುರಾವೆ
ವಯಸ್ಸಿನ ಪುರಾವೆ
ಶೈಕ್ಷಣಿಕ ಅರ್ಹತೆಯ ಪ್ರಮಾಣಪತ್ರಗಳು
ಇತ್ತೀಚಿನ ಛಾಯಾಚಿತ್ರ
ಪುನರಾರಂಭ (ಅನ್ವಯಿಸಿದರೆ)
ಯಾವುದೇ ಸಂಬಂಧಿತ ಅನುಭವ ದಾಖಲೆಗಳು
ಫಾರ್ಮ್ ಅನ್ನು ಭರ್ತಿ ಮಾಡಿದ ನಂತರ, ನಿಖರತೆಯನ್ನು ಖಚಿತಪಡಿಸಿಕೊಳ್ಳಲು ಎಲ್ಲಾ ವಿವರಗಳನ್ನು ಎಚ್ಚರಿಕೆಯಿಂದ ಪರಿಶೀಲಿಸಿ.
ಅಂತಿಮವಾಗಿ, ನಿಗದಿತ ವಿಧಾನವನ್ನು ಬಳಸಿಕೊಂಡು (ಉದಾ., ನೋಂದಾಯಿತ ಪೋಸ್ಟ್, ಸ್ಪೀಡ್ ಪೋಸ್ಟ್ ಅಥವಾ ಇತರ ಸೇವೆಗಳನ್ನು ವಿವರಿಸಿದಂತೆ) ಅಧಿಸೂಚನೆಯಲ್ಲಿ ನಮೂದಿಸಲಾದ ವಿಳಾಸಕ್ಕೆ ಪೂರ್ಣಗೊಳಿಸಿದ ಅರ್ಜಿ ನಮೂನೆಯನ್ನು ಕಳುಹಿಸಿ.
Application Invitation for 43 Nurse, Pharmacist and Other Posts in Udupi


